Kondisi Batas untuk Persamaan Koreksi Tekanan
Kondisi batas untuk persamaan koreksi tekanan. Persamaan kontinuitas untuk sel batas dapat dituliskan sebagai:
Atau
di mana 𝑚*𝑏 adalah fluks massa batas dan 𝑚'𝑏 adalah koreksinya. Sementara untuk sebuah permukaan internal, fluks massa dan koreksinya didefinisikan oleh Persamaan (15.100) dan (15.101), untuk sebuah permukaan batas definisinya sedikit berbeda. Karena di sebuah permukaan batas hanya sel batas yang memberikan kontribusi terhadap kuantitas rata-rata, penggunaan Persamaan (15.109) bersama dengan Persamaan (15.100) dan (15.101) memberikan:
Dalam menerapkan kondisi batas, nilai-nilai m*b,m'b, pb, dan p'b harus dihitung. Berdasarkan diskusi terkait dengan persamaan momentum, dapat disimpulkan tiga jenis kondisi batas. Jenis pertama ditunjukkan dengan "laju aliran massa yang ditentukan" (misalnya, dinding atau laju aliran massa yang ditentukan di inlet). Untuk kategori ini, m'b=0, yang serupa dengan kondisi batas fluks skalar nol, dan tidak diperlukan modifikasi pada persamaan koreksi tekanan. Namun, tekanan harus dihitung pada Untuk jenis kedua kondisi batas, disebut "tekanan ditentukan" di mana p'b=0 dan untuk itu kondisi mirip dengan kondisi Dirichlet yang harus diterapkan untuk persamaan koreksi tekanan. Untuk kondisi ini, m*b dihitung dari lapangan tekanan batas dan dalam. Dalam jenis ketiga, terdapat hubungan implisit antara tekanan dan laju aliran massa, seperti dalam kondisi batas tekanan total yang ditentukan. Dalam kasus ini, persamaan eksplisit diekstraksi dari hubungan implisit dan digunakan dalam persamaan koreksi tekanan.
Detail mengenai berbagai jenis kondisi batas dan implementasinya akan dijelaskan selanjutnya.
15.6.2.1 Kondisi Batas Dinding
Tepi dinding, baik dalam kondisi slip (Gambar 15.20) maupun no-slip (Gambar 15.19), memiliki laju aliran massa yang sama dengan nol. Oleh karena itu, m'b = 0, yang setara dengan nolnya fluks yang ditentukan, dan mengimplikasikan bahwa tidak ada modifikasi yang diperlukan untuk persamaan koreksi tekanan. Namun, tekanan di dinding diperlukan dan dihitung menggunakan Persamaan (15.127) atau Persamaan (15.133) atau profil ekstrapolasi orde rendah, seperti yang ditunjukkan di bawah ini.
15.6.2.2 Kondisi Batas Saluran Masuk
Kecepatan yang ditentukan (Pb= ?; mb ditentukan ; vb ditentukan)
Untuk kecepatan yang ditentukan di inlet (Gambar 15.21), fluks massa diketahui dan koreksinya diatur menjadi nol, yaitu, m'b = 0. Dengan demikian, serupa dengan kondisi batas dinding, istilah tersebut langsung dihilangkan dari persamaan koreksi tekanan. Tekanan di batas diekstrapolasi dari lapangan tekanan internal menggunakan Persamaan (15.127) atau Persamaan (15.133) atau profil ekstrapolasi orde rendah seperti yang dijelaskan dalam Persamaan (15.160).
Arah Tekanan dan Kecepatan Tertentu (Pb = P ditentukan ; mb ?; ev ditentukan ; vb?)
Dalam kasus tekanan statis yang ditentukan pada inlet (Gambar 15.22), pb diketahui, sehingga p'b diatur menjadi nol, tetapi m'b ≠ 0. Inlet dianggap sebagai kondisi batas Dirichlet untuk persamaan koreksi tekanan. Koefisien dari persamaan p' menjadi:
Tekanan Total dan Arah Kecepatan yang Ditentukan = (P0,b = PO, ditentukan ; mb ?; ev ditentukan ; vb? )
Seperti yang disebutkan sebelumnya, untuk tekanan total yang ditentukan (Gambar 15.23), arah kecepatan juga harus ditentukan. Hubungan tekanan total yang diberikan oleh Persamaan (15.138) pertama-tama dituliskan ulang sebagai fungsi dari laju aliran massa dan tekanan dengan menggantikan magnitudo kecepatan dengan fluks massa. Dengan demikian,
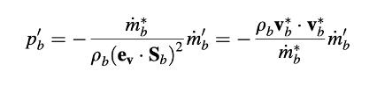
Dengan menggunakan ekspansi Taylor tentang pb, p'b diperoleh sebagai:
Dengan membedakan Persamaan (15.162) terhadap mb dan Persamaan (15.163), bentuk akhir p'b ditemukan sebagai:
Dengan menggantikan Persamaan (15.164) ke dalam Persamaan (15.159), koreksi fluks massa diekspresikan sebagai:
Dengan mengganti m'b dalam persamaan kontinuitas yang diperluas (Persamaan 15.158) dengan ekspresi dari Persamaan (15.165), koefisien ap'c yang dimodifikasi untuk sel batas menjadi:
15.6.2.3 Kondisi Batas Outlet
Tekanan yang ditentukan (pb =p ditentukan; mb ?; vb?)
Untuk tekanan yang ditentukan pada outlet (Gambar 15.24), p'b diatur menjadi nol. Di sisi lain, m'b dihitung sebagai:
Diperlukan arah kecepatan, maka biasanya arah dari vb diambil sebagai arah kecepatan upwind vc. Ekspresi dari persamaan koreksi tekanan ap'c menjadi:
Laju Aliran Massa yang Ditentukan (mb = m ditentukan ; Pb ? vb?)
Untuk laju aliran massa yang ditentukan di outlet (Gambar 15.25), m'b adalah nol dan langsung dihilangkan dari persamaan koreksi tekanan tanpa modifikasi yang diperlukan untuk koefisien elemen batas. Dengan mengatur m'b menjadi nol dalam Persamaan (15.159), koreksi tekanan (atau tekanan) di batas diatur sama dengan koreksi tekanan (atau tekanan) di pusat sel batas.
Aliran Outlet yang Dikembangkan Sepenuhnya
Untuk aliran yang sepenuhnya berkembang, kecepatan di outlet diasumsikan diketahui dan dihitung dari gradien normal nol. Ini berarti 𝑚𝑏 di outlet diketahui. Oleh karena itu, tidak diperlukan koreksi dan 𝑚'𝑏 diatur menjadi nol. Namun, karena tekanan batas tidak diketahui, tekanan tersebut diekstrapolasi dari lapangan tekanan interior. Karena kecepatan diperbarui secara iteratif, perlakuan di atas tidak menjamin konservasi keseluruhan kecuali pada konvergensi. Adalah kebiasaan dalam aliran inkompresibel untuk mengatasi masalah ini dan menegakkan konservasi massa global pada setiap iterasi dengan memodifikasi 𝑚𝑏 batas untuk memenuhi konservasi massa keseluruhan. Ini dilakukan dengan menghitung laju aliran massa total yang memasuki domain ∑𝑚𝑖𝑛 . Kemudian, berdasarkan laju aliran massa yang dihitung di batas outlet, laju aliran massa total yang keluar laju aliran massa di sebuah ∑𝑚out outlet disesuaikan sesuai dengan